Бесплатный интенсив по биологии
3 огненных вебинара, домашние задания, беседа курса, личный кабинет, связь с преподавателем и многое другое.
Подробнее об интенсиве
Задание 24. Задание с изображением биологического объекта. ЕГЭ 2026 по биологии
Средний процент выполнения: 30.9%
Ответом к заданию 24 по биологии может быть подробный ответ (нужно дать объяснение, описание или обоснование; высказать и аргументировать собственное мнение).
Подпишись на суперполезные материалы
Задачи для практики
Задача 1

Отделы какого органа изображены на рисунке? У каких организмов сформировался такой орган? Назовите изображённые отделы, обозначенные цифрами 1, 2, 3 и 4. Назовите функции структуры, обозначенной цифрой 3.
Решение
- Головной мозг птиц.
- 1 — большие полушария переднего мозга; 2 — средний мозг; 3 — мозжечок; 4 — продолговатый мозг.
- Мозжечок — отдел головного мозга позвоночных, отвечающий за координацию движений, регуляцию равновесия и мышечного тонуса
Задача 2

Рассмотрите рисунок, изображающий различия в строении скелета человека и высших приматов. Назовите выделенные стрелкой различия. С какой особенностью человека они связаны? В чём состоят различия строения черепа?
Решение
- сводчатая стопа,
- изгибы в позвоночнике (S-образный позвоночник);
- связаны с прямохождением;
- мозговая часть черепа больше лицевой, маленькие челюсти
- отсутствие надбровных дуг, подбородочный выступ
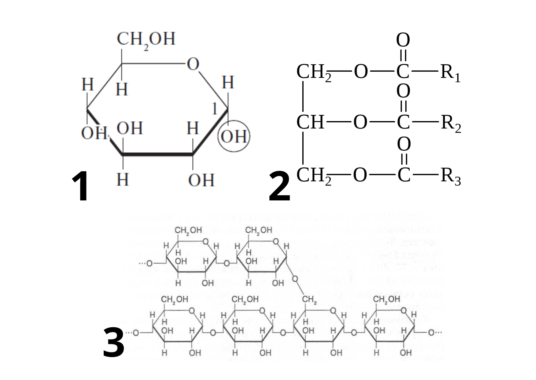
Задача 3

Схема какого органоида изображена на рисунке? Какие функции он выполняет? Что обозначено на рисунке цифрой 1? Какая функция у этой структуры?
Решение
- аппарат Гольджи (комплекс Гольджи);
- трансформация (изменение, модификация веществ),
- хранение (накопление) веществ
- упаковка веществ
- отделившийся от аппарата Гольджи пузырёк - лизосома
- функция пузырька лизосомы - транспорт веществ
Задача 4

Как называется представленное на рисунке распределение особей в пространстве? В каких случаях оно наблюдается?
Решение
- случайное (диффузное) распределение;
- наблюдается, когда популяция существует в условиях неравномерного распределения факторов среды;
- наблюдается в случае слабых социальных связей между особями в популяции
Задача 5

На рисунке изображено строение сердца человека. Какая камера сердца обозначена буквой В? Какая кровь и из какого отдела сердца поступает в эту камеру? С каким кругом кровообращения связана камера и по каким сосудам кровь будет выходить из неё?
Решение
- Под буквой В- правый желудочек;
- Поступает венозная кровь
- кровь поступает из правого предсердия
- Правый желудочек связан с малым кругом кровообращения
- Кровь будет выходить через легочный ствол
Задача 6

Как изменилась эмиссия (поступление) углекислого газа в атмосферу Земли за последние 160 лет? Какое количество углекислого газа поступало в атмосферу Земли в 1990 году? В каком году в атмосферу Земли поступало 4 Гт углерода в год?
Решение
- увеличилась;
- 6 ГтС/год;
- 1970
Задача 7

На рисунке изображен гриб-трутовик на дереве. Как называется такой вид отношений? В чём положительные и отрицательные последствия для участников отношений?
Решение
- паразитизм;
- гриб получает готовые органические вещества;
- дерево теряет часть произведённых органических веществ
Задача 8
Геохронологическая таблица
Эра | Период | |
Название и продолжительность, млн лет | Возраст (начало эры), млн лет | Название и продолжительность, млн лет |
Кайнозойская, 66 | 66 | Четвертичный, 2,58 |
Неоген, 20,45 | ||
Палеоген, 43 | ||
Мезозойская, 186 | 252 | Меловой, 79 |
Юрский, 56 | ||
Триасовый, 51 | ||
Палеозойская, 289 | 541 | Пермский, 47 |
Каменноугольный, 60 | ||
Девонский, 60 | ||
Силурийский, 25 | ||
Ордовикский, 41 | ||
Кембрийский, 56 |

На рисунке изображена реконструкция зверозубого ящера, появившегося около 270 млн лет назад. Используя фрагмент геохронологической таблицы, определите, в какой эре и каком периоде появилось это животное. Это животное имеет признаки двух классов. Назовите их. Какие черты строения сближают его с представителями этих классов?
Решение
- эра палеозойская,
- период пермский;
- Черты пресмыкающихся: плотная сухая кожа с чешуйками.
- Черты млекопитающих: дифференцированные зубы,
- ноги под туловищем
Задача 9
Геохронологическая таблица
Эра | Период | |
Название и продолжительность, млн лет | Возраст (начало эры), млн лет | Название и продолжительность, млн лет |
Кайнозойская, 66 | 66 | Четвертичный, 2,58 |
Неоген, 20,45 | ||
Палеоген, 43 | ||
Мезозойская, 186 | 252 | Меловой, 79 |
Юрский, 56 | ||
Триасовый, 51 | ||
Палеозойская, 289 | 541 | Пермский, 47 |
Каменноугольный, 60 | ||
Девонский, 60 | ||
Силурийский, 25 | ||
Ордовикский, 41 | ||
Кембрийский, 56 |

На рисунке изображён бронтозавр - вымершее животное, обитавшее около 146 млн лет назад. Используя фрагмент геохронологической таблицы, установите эру и период, в который обитал данный организм. Какие животные (на уровне класса) стали вытеснять группу живых существ, к которой принадлежит изображённый на рисунке организм?
Решение
- зра: мезозойская;
- период: юра;
- потомки: сумчатые и плацентарные млекопитающие
Задача 10
Геохронологическая таблица
Эра | Период | |
Название и продолжительность, млн лет | Возраст (начало эры), млн лет | Название и продолжительность, млн лет |
Кайнозойская, 66 | 66 | Четвертичный, 2,58 |
Неоген, 20,45 | ||
Палеоген, 43 | ||
Мезозойская, 186 | 252 | Меловой, 79 |
Юрский, 56 | ||
Триасовый, 51 | ||
Палеозойская, 289 | 541 | Пермский, 47 |
Каменноугольный, 60 | ||
Девонский, 60 | ||
Силурийский, 25 | ||
Ордовикский, 41 | ||
Кембрийский, 56 |

На рисунке изображён стегоцефал — вымершее животное, обитавшее около 400 млн лет назад . Используя фрагмент геохронологической таблицы, установите эру и период, в который обитал данный организм, а также возможного предка уровня класса животных.
Решение
- эра: палеозойская;
- период: девон;
- возможный предок: кистепёрые рыбы
Задача 11

Определите тип и фазу деления клетки, изображённой на рисунке. Какой хромосомный набор характерен для этой фазы? Какие процессы происходят в этой фазе? Ответ обоснуйте.
Решение
- тип деления — мейоз; фаза деления — анафаза первого деления (ИЛИ мейоз 1, анафаза 1);
- Набор - 2n4c (ИЛИ допускается написание n2c на каждом полюсе клетки),
- потому что перед началом мейоза, в период интерфазы произошла репликация ДНК (обоснование для набора)
- укорачиваются нити веретена деления (обоснование для фазы и типа)
- к полюсам клетки расходятся гомологичные двухроматидные хромосомы (обоснование для фазы и типа)
Задача 12
Геохронологическая таблица
Эра | Период | |
Название и продолжительность, млн лет | Возраст (начало эры), млн лет | Название и продолжительность, млн лет |
Кайнозойская, 66 | 66 | Четвертичный, 2,58 |
Неоген, 20,45 | ||
Палеоген, 43 | ||
Мезозойская, 186 | 252 | Меловой, 79 |
Юрский, 56 | ||
Триасовый, 51 | ||
Палеозойская, 289 | 541 | Пермский, 47 |
Каменноугольный, 60 | ||
Девонский, 60 | ||
Силурийский, 25 | ||
Ордовикский, 41 | ||
Кембрийский, 56 |

На рисунке изображены вымершие растения, обитавшие около 430 млн лет назад. Используя фрагмент геохронологической таблицы, установите эру и период, в который они произрастали. Как современные биологи называют эти организмы? Переходной формой между какими группами они являлись? Приведите черты сходств с группами растений.
Решение
- эра: палеозойская;
- период: силур;
- Риниофиты ИЛИ псилофиты
- Черты водорослей: слоевище, отсутствуют корни
- Черты споровых: стебель с чешуйками, развитые ткани
Задача 13
Геохронологическая таблица
Эра | Период | |
Название и продолжительность, млн лет | Возраст (начало эры), млн лет | Название и продолжительность, млн лет |
Кайнозойская, 66 | 66 | Четвертичный, 2,58 |
Неоген, 20,45 | ||
Палеоген, 43 | ||
Мезозойская, 186 | 252 | Меловой, 79 |
Юрский, 56 | ||
Триасовый, 51 | ||
Палеозойская, 289 | 541 | Пермский, 47 |
Каменноугольный, 60 | ||
Девонский, 60 | ||
Силурийский, 25 | ||
Ордовикский, 41 | ||
Кембрийский, 56 |

На рисунке изображён трилобит — вымершее вымершее около 275 млн лет назад животное. Используя фрагмент геохронологической таблицы, установите эру и период, в который обитал данный организм, современные аналоги, его тип и признаки по которым он относится к указанному Вами типу.
Решение
- эра: палеозойская;
- период: Пермский;
- тип: Членистоногие;
- современные аналоги: мокрицы и мечехвосты;
- признаки: сегментированность тела и конечностей, хитиновый покров
Задача 14

Назовите части органа слуха, обозначенные на рисунке цифрами 1–3. К каким отделам они относятся и каково значение этих структур? Ответ поясните.
Решение
- 1 - барабанная перепонка, 2 - слуховые косточки в среднем ухе, 3 - слуховая труба (или Евстахиева труба)
- Отделы: барабанная перепонка - расположена на границе наружного и среднего уха, слуховые косточки и слуховая труба - среднее ухо
- Барабанная перепонка переводит звуковые колебания в механические и передаёт их на слуховые косточки
- Слуховые косточки - усиливают и передают колебания в овальное окно внутреннего уха
- Слуховая (Евстахиева) труба выравнивает давление
Задача 15

Что на рисунке обозначено буквами А и Б? Какие функции выполняют обозначенные структуры? Ответ поясните.
Решение
- А — плод,
- Б — клубень (видоизменённый подземный побег);
- плод — орган полового (семенного) размножения;
- клубень — запасание питательных веществ,
- клубень — вегетативное размножение
Задача 16

Назовите структуры, обозначенные на рисунке цифрами 1 и 2. Каково их значение? Какой тканью они образованы? Ответ поясните.
Решение
- 1 — двустворчатый клапан ИЛИ митральный
- обеспечивает движение крови только в одном направлении — из левого предсердия в левый желудочек;
- 2 — полулунный клапан ИЛИ аортальный
- обеспечивает движение крови только в одном направлении — из левого желудочка в аорту
- клапаны образованы волокнистой соединительной тканью (допустимо указание на эндокард, как источник формирования клапанов)
Задача 17

Какой организм изображён на рисунке? Что на рисунке обозначено цифрами 1–3? Каково практическое значение изображённого на рисунке организма? Ответ поясните.
Решение
- бактериофаг — вирус, который поражает клетки бактерий;
- 1 — ДНК, 2 — капсид (белковая капсула ИЛИ головка), 3 — хвост (чехол);
- бактериофаги используются как лекарственные препараты для профилактики и лечения инфекционных заболеваний человека (против возбудителей дизентерии, холеры, брюшного тифа, стафилококков)
Задача 18

Какой процесс изображён на рисунке и каково его биологическое значение? Какие этапы этого процесса обозначены цифрами 1–3? Известно, что проникновение ядра сперматозоида в яйцеклетку обусловлено растворением её оболочки. Какая структура сперматозоида участвует в этом? Видоизменением какого органоида она является?
Решение
- Оплодотворение
- это процесс слияния ядер мужской и женской гамет, который приводит к образованию зиготы. (При слиянии гамет восстанавливается диплоидный набор хромосом).
- 1 — сближение сперматозоидов с яйцеклеткой
- 2 — проникновение одного сперматозоида в яйцеклетку
- 3 — слияние ядер сперматозоида и яйцеклетки (образование зиготы);
- Акросома
- Аппарат Гольджи
Задача 19

Признаки растений какого класса изображены на рисунке? Перечислите не менее трёх признаков. Перечислите минимум три семейства, которые относятся к этому классу растений. Ответ обоснуйте.
Решение
- на рисунке изображены признаки растений, принадлежащих к классу Двудольные;
- признаки Двудольных: две семядоли в семени, стержневая корневая система, сетчатое жилкование листьев, проводящая система в форме кольца;
- к Двудольным относятся семейства: Крестоцветные (капустные), Бобовые (мотыльковые), Паслёновые, Розоцветные, Сложноцветные и др.