Задание 32. Органическая цепочка. ЕГЭ 2026 по химии
Средний процент выполнения: 41.2%
Ответом к заданию 32 по химии может быть развернутый ответ (полная запись решения с обоснованием выполненных действий).
Подпишись на суперполезные материалы
Задачи для практики
Задача 1
Напишите уравнения реакций, с помощью которых можно осуществить следующие превращения.
При написании уравнений реакций используйте структурные формулы органических веществ.
Решение
Задача 2
Напишите уравнения реакций, с помощью которых можно осуществить следующие превращения.
При написании уравнений реакций используйте структурные формулы органических веществ.
Решение
Задача 3
Напишите уравнения химических реакций, с помощью которых можно осуществить следующие превращения:
При написании уравнений реакций используйте структурные формулы органических веществ.
Решение
Задача 4
Напишите уравнения реакций, с помощью которых можно осуществить следующие превращения.
При написании уравнений реакций используйте структурные формулы органических веществ.
Решение
Задача 5
Напишите уравнения реакций, с помощью которых можно осуществить следующие превращения.
При написании уравнений реакций используйте структурные формулы органических веществ.
Решение
Задача 6
Напишите уравнения реакций, с помощью которых можно осуществить следующие превращения.
При написании уравнений реакций используйте структурные формулы органических веществ.
Решение
Задача 7
Напишите уравнения реакций, с помощью которых можно осуществить следующие превращения.
При написании уравнений реакций используйте структурные формулы органических веществ.
Решение
Задача 8
Напишите уравнения реакций, с помощью которых можно осуществить следующие превращения:
$глюкоза → X_1 → X_2 {→}↙{AlCl_3}↖{C_6H_6} C_8H_{10} {→}↙{FeCl_3}↖{Cl_2} X_4 {→}↙{H_2SO_4}↖{KMnO_4} X_5$
При написании уравнений реакций используйте структурные формулы органических веществ.
Решение
1) $C_6H_{12}O_6 →↖{дрожжи} 2C_2H_5OH + 2CO_2$
2) $C_2H_5OH →↖{H_2SO_4, t > 140 °C} CH_2=CH_2 + H_2O$
3) $CH_2=CH_2 +$
$→↖{AlCl_3, t°}$ 
4) $Cl_2 +$
$→↖{FeCl_3, t°} HCl +$ 
5) $12KMnO_4 + 18H_2SO_4 +$
$→ 12MnSO_4 + 6K_2SO_4 + 28H_2O + 5CO_2 +$ 
или
$12KMnO_4 + 18H_2SO_4 +$
$→ 12MnSO_4 + 6K_2SO_4 + 28H_2O + 5CO_2 +$ 
Задача 9
Напишите уравнения реакций, с помощью которых можно осуществить следующие превращения:
$CH≡CH →↖{H_2O (Hg^{2+})} X_1 →↙{H_2SO_4}↖{K_2Cr_2O_7} X_2 →↖{NaHCO_3} X_3 →↖{CH_3I} Х_4 →↖{H_2O (H^{+})} X_2$
При написании уравнений реакций используйте структурные формулы органических веществ.
Решение
1) $CH≡CH + H_2O → CH_3–CHO$
2) $3CH_3CHO + K_2Cr_2O_7 + 4H_2SO_4 → 3CH_3COOH + K_2SO_4 + Cr_2(SO_4)_3 + 4H_2O$
3) $CH_3COOH + NaHCO_3 → CH_3COONa + H_2O + CO_2$
4) $CH_3COONa + CH_3I → CH_3COOCH_3 + NaI$
5) $CH_3COOCH_3 + H_2O ⇄ CH_3COOH + CH_3OH$
Задача 10
Напишите уравнения реакций, с помощью которых можно осуществить следующие превращения:
$C_6H_5COOK →↖{KOH, t°} X_1 →↖{C_2H_4, H_3PO_4, t°} X_2 →↖{Cl_2, hν} X_3 →$ $C_6H_5-CH=CH_2$$→↖{KMnO_4, H_2SO_4, t°} X_4$
При написании уравнений реакций используйте структурные формулы органических веществ.
Решение
Вариант ответа:
1) $C_6H_5COOK$ + $KOH_{(тв.)}$ → $K_2CO_3$ + $C_6H_6$
2) $C_6H_6$ + $CH_2=CH_2 →↖{H_3PO_4, t°}$ $C_6H_5-CH_2CH_3$
3) $C_6H_5-CH_2-CH_3 + Cl_2 →↖{hv}C_6H_5-CHCl-CH_3 + HCl$
4) $C_6H_5–CH(Cl)–CH_3 + KOH_{(спирт.)} → C_6H_5–CH=CH_2 + KCl + H_2O$
5) $C_6H_5–CH=CH_2 + 2KMnO_4 + 3H_2SO_4 → K_2SO_4 + 2MnSO_4 + 4H_2O + CO_2 +C_6H_5-COOH$
Задача 11
Напишите уравнения реакций, с помощью которых можно осуществить следующие превращения:
$пропан →↖{Pt, t°} Х_1 → 1.2-дибромпропан →↖{NaOH_{(спирт. р-р)}, t°} Х_2 →↖{t°, кат.} Х_3 →↖{KMnO_4, H_2SO_4, t°}$
При написании уравнений реакций используйте структурные формулы органических веществ.
Решение
1) $CH_3–CH_2–CH_3 → CH_3–CH=CH_2 + H_2$
2) $CH_3–CH=CH_2 + Br_2 → CH_3–CHBr–CH_2Br$
3) $CH_3–CHBr–CH_2Br + 2NaOH_{(спирт. р-р)} → CH_3–C≡CH + 2NaBr + 2H_2O$
4) $3CH_3–C≡CH →↖{C_{(акт.)}, t°}$ 
5) $18KMnO_4 + 27H_2SO_4 + 5$
$→ 18MnSO_4 + 9K_2SO_4 + 42H_2O + 5$ 
Задача 12
Приведите уравнения химических реакций, которые позволяют осуществить следующие превращения:
$C_6H_6 →↖{C_2H_5Cl, AlCl_3} X_1 →↖{KMnO_4, H_2SO_4, t°} X_2 → изопропилбензоат →↖{O_{2(изб.)}, t°} X_3 →↖{C_{(акт.)}, t°} X_4$
При написании уравнений реакций используйте структурные формулы органических веществ.
Решение
1) $C_2H_5Cl +$
$→↖{AlCl_3} HCl +$
2) 5
$+ 12KMnO_4 + 18H_2SO_4 →5$
$+ 5CO_2 + 6K_2SO_4 + 12MnSO_4 + 28H_2O$
3)
$ + (CH_3)_2CHOH$ $→ H_2O +$ 
4) $C_6H_5COOCH(CH_3)_2 + 12O_2 → 10CO_2 + 6H_2O$
5) $CO_2 + C → 2CO$
Задача 13
Напишите уравнения химических реакций, которые позволяют осуществить следующие превращения:
$C_2H_5COOH → X_1 →↖{электролиз} X_2 →↖{Cl_2, свет} X_3 →↖{NaOH_{(водн.)}} X_4 →↖{H_2SO_{4(конц.)}, t > 140 °C} X_5$
При написании уравнений реакций используйте структурные формулы органических веществ.
Решение
1) $CH_3CH_2COOH + NaOH → CH_3COONa + H_2O$ или
$2CH_3CH_2COOH + 2Na → 2CH_3CH_2COONa + H_2$ или
$2CH_3CH_2COOH + Na_2CO_3 → 2CH_3CH_2COONa + H_2O + CO_2$ или
$CH_3CH_2COOH + KHCO_3 → CH_3CH_2COOK + H_2O + CO_2$
или другая реакция получения пропионата натрия или калия
2) $2C_2H_5COONa + 2H_2O → H_2 + 2NaOH + 2CO_2 + C_2H_5–C_2H_5$ или
$2C_2H_5COOK + 2H_2O → H_2 + 2KOH + 2CO_2 + C_2H_5–C_2H_5$
3) $CH_3CH_2CH_2CH_3 + Cl_2 → CH_3–CH(Cl)–CH_2CH_3 + HCl$
4) $CH_3–CH(Cl)–CH_2CH_3 + NaOH_{(водн.)} → CH_3–CH(OH)–CH_2CH_3 + NaCl$
5) $CH_3–CH(OH)–CH_2CH_3 → H_2O + CH_3–CH=CH–CH_3$
Задача 14
Напишите уравнения реакций, с помощью которых можно осуществить следующие превращения:
$C_3H_8 →↖{Cl_2, hν} X_1 → (CH_3)_2CHCH(CH_3)_2 → 2,3-диметил-2-хлорбутан →↖{NaOH_{(спирт.)}, t°} X_2 {→}↙{H_2O, 0 °C}↖{KMnO_4} X_3$
При написании уравнений реакций используйте структурные формулы органических веществ.
Решение
1) $CH_3–CH_2–CH_3 + Cl_2 →↖{hν}$
$+ HCl$
2) 2
$+ 2Na →↖{t°} 2NaCl +$ 
3)
$+ Cl_2 →↖{hν} HCl +$ 
4)
$+ NaOH_{(спирт.)} →↖{t°} NaCl + H_2O +$ 
5) 3
$+ 2KMnO_4 + 4H_2O →$
$+ 2MnO_2 + 2KOH$
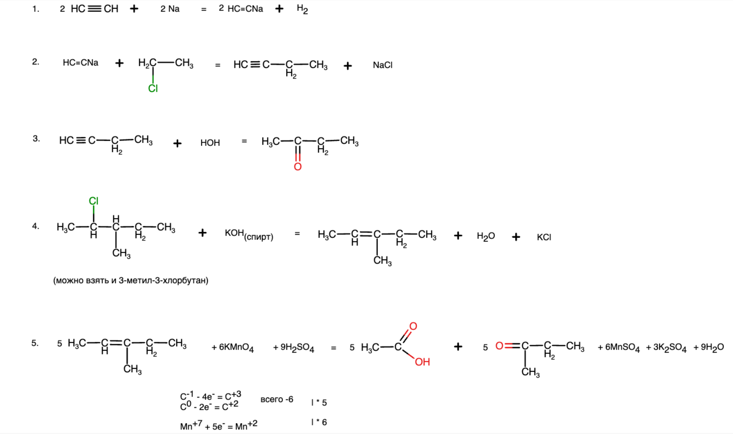
Задача 15
Напишите уравнения реакций, с помощью которых можно осуществить следующие превращения:
$CH_3–С≡CAg →↖{HCl} X_1 →↖{HBr_{(изб.)}} X_2 → X_1 →↖{H_2O, Hg^{2+}} ацетон →↖{H_2, кат., t°} X_3$
При написании уравнений реакций используйте структурные формулы органических веществ.
Решение
1) $CH_3–C≡CAg + HCl → CH_3–C≡CH + AgCl↓$
2) $CH_3–C≡CH + 2HBr_{(изб.)} → CH_3–CBr_2–CH_3$
3) $CH_3–CBr_2–CH_3 + 2KOH_{(спирт.)} → CH_3–C≡CH + 2KBr + 2H_2O$
4) $CH_3–C≡CH + H_2O → CH_3–CO–CH_3$
5) $CH_3–CO–CH_3 + H_2 → CH_3–CH(OH)–CH_3$
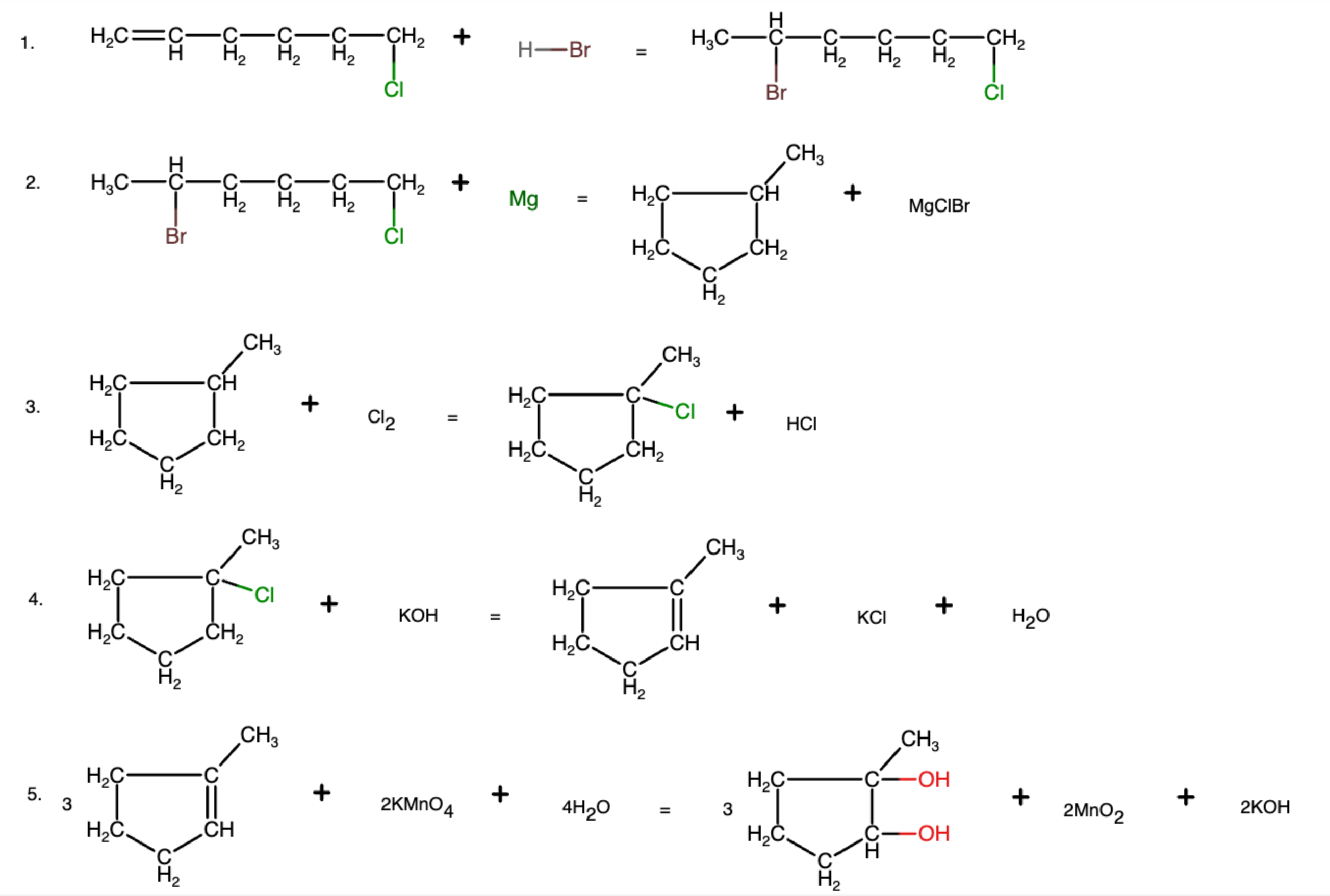
Задача 16
Напишите уравнения химических реакций, с помощью которых можно осуществить следующие превращения:
$н-гептан →↖{Pt, t} Х_1 →↖{Cl_2, свет}$
$→↖{KOH_{(водн. р-р)}, t°} X_2 →↖{KMnO_4, H_2SO_4, t°} X_3 →↖{CH_3CH(OH)CH_3, H_2SO_{4(конц.)}, t°} X_4$
При написании уравнений реакций используйте структурные формулы органических веществ.
Решение
1) $CH_3CH_2CH_2CH_2CH_2CH_2CH_3 →↖{Pt, t°} 4H_2 +$ 
2)
$+ 2Cl_2 →↖{hν} 2HCl +$ 
3)
$+2КOH → 2КCl + H_2O +$ 
4) 5
$+ 2KMnO_4 + 3H_2SO_4 →5$ $C_6H_5COOH+ 2MnSO_4 + K_2SO_4 + 3H_2O$
5) $С_6H_5COOH + CH_3–CH(OH)–CH_3 → H_2O +$ 
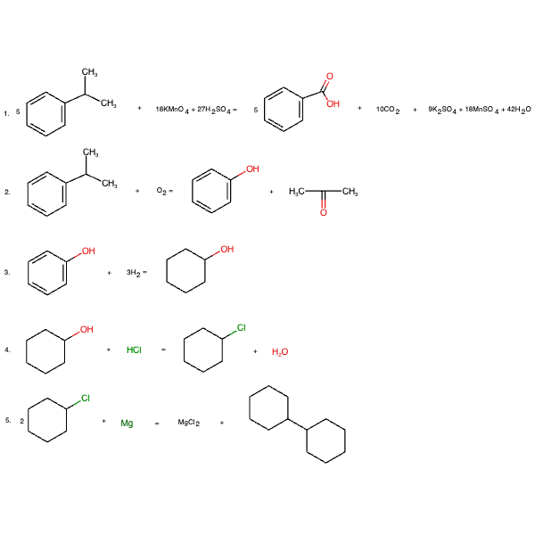
Задача 17
Напишите уравнения химических реакций, которые позволяют осуществить следующие превращения:
$фенол →↖{изб. Н_2, кат.} X_1 →↖{HCl} Х_2 →↖{КОН_{(спирт. р-р)}, t°} X_3 →↖{CrO_3, H_2SO_4, t°} Х_4 →↖{C_2H_5OH (H^+)} Х_5$
При написании уравнений реакций используйте структурные формулы органических веществ.
Решение
1)
$+ 3H_2 →$ 
2)
$+ HCl →$
$+ H_2O$
3)
$+ KOH_{(спирт. р-р)} →$
$+ KCl + H_2O$
4) 3
$+ 8CrO_3 + 12H_2SO_4 → 3$
$+ 4Cr_2(SO_4)_3 + 12H_2O$
5)
$+ 2C_2H_5OH →↖{H^{+}}$
$+ 2H_2O$
Задача 18
Напишите уравнения реакций, с помощью которых можно осуществить следующие превращения:
$C_2H_4 →↖{KMnO_4, H_2O, 0 °C} X_1 →↖{HCl_{(изб.)}} X_2 → CH≡CH →↖{H_2O (Hg^{2+})} Х_3 →↖{[Ag(NH_3)_2]OH} Х_4$
При написании уравнений реакций используйте структурные формулы органических веществ.
Решение
1) $3CH_2=CH_2 + 2KMnO_4 + 4H_2O → 3CH_2(OH)–CH_2OH + 2MnO_2 + 2KOH$
2) $CH_2(OH)–CH_2OH + 2HCl → CH_2Cl–CH_2Cl + 2H_2O$
3) $CH_2Cl–CH_2Cl + 2KOH_{(спирт.)} → CH≡CH + 2KCl + 2H_2O$
4) $CH≡CH + H_2O →↖{Hg^{2+}}$ 
5) $CH_3CHO$ + $2[Ag(NH_3)_2]OH$ → 2Ag + $3NH_3$ + $H_2O$ + $CH_3COONH_4$
Задача 19
Напишите уравнения реакций, с помощью которых можно осуществить следующие превращения:
$глюкоза → X_1 → X_2 {→}↙{AlCl_3}↖{C_6H_6} C_8H_{10} {→}↙{FeCl_3}↖{Cl_2} X_4 {→}↙{H_2SO_4}↖{KMnO_4} X_5$
При написании уравнений реакций используйте структурные формулы органических веществ.
Решение
1) $C_6H_{12}O_6 →↖{дрожжи} 2C_2H_5OH + 2CO_2$
2) $C_2H_5OH →↖{H_2SO_4, t > 140 °C} CH_2=CH_2 + H_2O$
3) $CH_2=CH_2 +$
$→↖{AlCl_3, t°}$ 
4) $Cl_2 +$
$→↖{FeCl_3, t°} HCl +$ 
5) $12KMnO_4 + 18H_2SO_4 +$
$→ 12MnSO_4 + 6K_2SO_4 + 28H_2O + 5CO_2 +$ 
или
$12KMnO_4 + 18H_2SO_4 +$
$→ 12MnSO_4 + 6K_2SO_4 + 28H_2O + 5CO_2 +$ 
Задача 20
Напишите уравнения реакций, с помощью которых можно осуществить следующие превращения:
$CH_3–CH_2–CH_2–CH_3 →↖{Br_2, hν} X_1 →↖{KOH_{(спирт.)}, t°} X_2 →↖{Br_2} X_3 →↖{KOH_{(спирт.)}, изб., t°} CH_3C≡CCH_3 →↖{H_2O, Hg^{2+}} X_4$
При написании уравнений реакций используйте структурные формулы органических веществ.
Решение
1) $CH_3–CH_2–CH_2–CH_3 + Br_2 → CH_3–CH_2–CHBr–CH_3 + HBr$
2) $CH_3CH_2–CHBr–CH_3 + KOH_{(спирт.)} → CH_3–CH=CH–CH_3 + KBr + HOH$
3) $CH_3–CH=CH–CH_3 + Br_2 → CH_3–CHBr–CHBr–CH_3$
4) $CH_3–CHBr–CHBr–CH_3 + 2KOH_{(спирт.)} → CH_3–C≡C–CH_3 + 2KBr + 2HOH$
5) $CH_3–C≡C–CH_3 + H_2O → CH_3–C(O)–CH_2–CH_3$
Рекомендуемые курсы подготовки
- Разберешься с заданием №17 на классификацию реакций
- Научишься решать задание №18 на скорость реакции
- Познакомишься с химическим равновесием и научишься рассчитывать равновесные концентрации веществ
- Научишься решать задания №22 и №23
- Научишься решать задание №27 на тепловой эффект
на бесплатном курсе Турбо ЕГЭ